Anyone I have spoken to one on one knows that my group of AP Physics C students is truly a unique group. They are the kind of group that comes around once every few years and makes your teacher heart soar…so you bring them up with you and cast them off and they fly higher than even you could have imagined.
So I thought I’d try something radical. Work on a skill that was far greater than their ability to do physics. I wanted them to focus on the learning process.
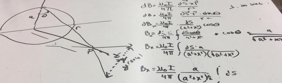
We are starting the Biot-Savart Law. Students need to do the derivations for a line, ring and ring segment of current. The reality is that the math skills are no different from anything they haven’t already seen before. But as we know, often times when students are presented with a new application it’s like everything they’ve learned is back to zero. The reality, of course, is that they lack the experience and mastry to be able to make those connections as we do as teachers. So I assigned the reading several nights ago. I asked students to take particular note of the three examples, and then I assigned the students in groups to one of the three examples.

The paper they received, however, was not a carbon copy of the book’s example. Because we know what students do when we ask them to read. They skim. They decide they can understand how the author got from step 1 to step end and they move on. But we know if we asked them to do a similar problem they would barely know where to start. I wanted them to actively engage in the material in the text. So I told them they had to prepare their assigned problem to teach to the class, instead of me teaching it.
Students had 2 nights to prepare plus 30 minutes to discuss in their groups the day before. Today was presentation day.
Imagine your first year teaching and that lesson you thought you’d be fine at, so you didn’t quite prepare it the way you should have. That’s what happened. But it was ok because I knew that all of my students would be ok. They challenged each other, they forced the students presenting to slow down, they asked the necessary clarification questions that required the presenters to really think about what they were doing rather than regurgitating text.
After the group had come to the end, I stepped in. I asked the group to step back for a moment so we could summarize (because we all know what happens when we get lost in the details and the mistakes…) I asked the students to explain why we did each step and connected it to what they had seen before. If notes or annotations needed to be added to the board, we added them. Once we were certain everyone was securely on the same page we moved on.
At the end I explained my goals of this exercise to my students. Not only do I want them actively engaging and learning (and seeing you CAN learn) from the text, the reality is that since they are ALL pursuing STEM majors there is a VERY REAL possibility that they will each be in a teaching assistantship in the next 3-5 years. They are going to need to learn how to teach what they are comfortable with, what they may not have been comfortable with, or something they learned 4-5 years ago. These teaching and communication skills are so valuable and go well beyond the world of academia.
I almost backtracked on this assignment and took over today, but I’m really glad I didn’t. My students once again rose way above and beyond what I expected. Working with a group of gifted AP Physics C students can be really challenging because finding the sweet spot of struggle vs overwhelming is a lot higher than one might anticipate, and in this course I think that sweet spot is higher than even the students realize. But that sweet spot is where the largest amount of growth happens, and I think we hit it today.
